scipy.signal.qspline1d_eval#

scipy.signal.qspline1d_eval(cj, newx, dx=1.0, x0=0)[source]#

Evaluate a quadratic spline at the new set of points.

Parameters
cjndarray

Quadratic spline coefficients

newxndarray

New set of points.

dxfloat, optional

Old sample-spacing, the default value is 1.0.

x0int, optional

Old origin, the default value is 0.

Returns
resndarray

Evaluated a quadratic spline points.

See also

qspline1d

Compute quadratic spline coefficients for rank-1 array.

Notes

dx is the old sample-spacing while x0 was the old origin. In other-words the old-sample points (knot-points) for which the cj represent spline coefficients were at equally-spaced points of:

oldx = x0 + j*dx  j=0...N-1, with N=len(cj)

Edges are handled using mirror-symmetric boundary conditions.

Examples

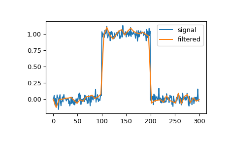
We can filter a signal to reduce and smooth out high-frequency noise with a quadratic spline:

>>> import matplotlib.pyplot as plt
>>> from scipy.signal import qspline1d, qspline1d_eval
>>> rng = np.random.default_rng()
>>> sig = np.repeat([0., 1., 0.], 100)
>>> sig += rng.standard_normal(len(sig))*0.05  # add noise
>>> time = np.linspace(0, len(sig))
>>> filtered = qspline1d_eval(qspline1d(sig), time)
>>> plt.plot(sig, label="signal")
>>> plt.plot(time, filtered, label="filtered")
>>> plt.legend()
>>> plt.show()
../../_images/scipy-signal-qspline1d_eval-1.png